Anahit Partners With U of G Researchers to Discover Innovative Pain Relief Potential of Cannabis for Commercialization

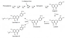
Proposed biosynthetic pathway for cannflavin A and B in Cannabis sativa

​​​​Anahit International Corp. has licensed a patent from the University of Guelph to biosynthesize Cannflavin A and B outside of the cannabis plant. Anahit is a Toronto-based company with a focus on international cannabis operations and is committed to leveraging its Canadian expertise in countries around the world. This includes operations in emerging, regulated jurisdictions where climates are conducive to low-cost, high-quality outdoor cannabis cultivation, processing, and product development.

Through our partnership with the University of Guelph, we are striving to develop highly effective and safe anti-inflammatory medicines from cannabis phytochemicals. University of Guelph researchers are the first to uncover how the cannabis plant creates important pain-relieving molecules that are 30 times more powerful at reducing inflammation than aspirin. "The problem with these molecules is that they are present in cannabis at such low levels, it's not feasible to try to engineer the cannabis plant to create more of these substances," said Dr. Steven Rothstein, a researcher and advisor to Anahit. "We are now working to develop a biological system to create these molecules, which would give us the opportunity to engineer large quantities." Their full findings were recently published in the journal, Phytochemistry.

This discovery unlocks the potential to create a naturally derived pain treatment that would offer potent relief without the risk of addiction to other painkillers that may lead to the opioid crisis. With this innovation, Anahit was invited and spoke at the annual Natural Health Product Research Society conference explaining the discovery of Cannflavin A and B to industry leading scientists and companies.

Anahit is excited to work closely with the researchers to commercialize this technology and provide an alternative to nonsteroidal anti-inflammatory drugs (NSAIDs) that do not have harmful side effects such as digestive and organ complications. The global "anti-inflammatory therapeutics market is expected to garner $106.1 billion by 2020" from Allied market research, with North America accounting for half of the global revenue.

"There's clearly a need to develop alternatives for relief of acute and chronic pain that go beyond opioids," said Prof. Tariq Akhtar, who worked on the study with fellow molecular and cellular biology professor Steven Rothstein. "These molecules are non-psychoactive and they target the inflammation at the source, making them ideal painkillers."

Anahit currently has over 15 new cannabinoid products in development, including medical and over the counter health and wellness products. The Company has the ability to rapidly produce high-quality products in a low-cost and high throughput environment. This is achieved through a licensed GMP pharmaceutical facility, TransPharm Canada Inc., and a Canadian distribution partnership. Anahit will commercialize the application of Cannflavin A and B to be accessible to consumers through a variety of medical and athletic products such as creams, pills, sports drinks, transdermal patches and other innovative options.

Source: Anahit International Corp.

Share:


Tags: anti-inflammatory, cannabinoid, cannabis, cannflavin, pain relief


About Anahit International Corp.

View Website or Media Room

Anahit is a Toronto-based company in the international cannabis industry committed to bridging the gap between the emerging market potential and the developed market demand, following a global seed to retail sale model.

Anahit International Corp.
130 Adelaide Street West (805)
Toronto, Ontario M5H 3P5
Canada