Cerrado Gold Announces Discovery of New Mineralized Zone at the Serra Alta Deposit and Reports Additional Results from the Infill Program at Its Monte Do Carmo Project in Brazil
- Discovery of new mineralized zone 150m east of the East zone at Serra Alta ("E3")
- Notable results in new extensional areas (E3 and Gogo de Onça):
- FSA-283: 48m at 2.01 g/t Au from 362m; and
- FGO-014: 4m at 59.97g/t Au from 171m
- Notable results in all three deposit zones (East Zone, Pit Norte, and Pit Sul)
- FSA-274: 9m at 10.89 g/t Au from 88m; and
- 22m at 2.77 g/t Au from 43m; including 2m at 10.19 g/t Au from 43m
TORONTO, ON, November 21, 2022 (Newswire.com) - [TSX.V: CERT][OTCQX:CRDOF] ("Cerrado" or the "Company") is pleased to announce the discovery of a new mineralized zone, named E3, located approximately 150m to the east of the previously outlined East Zone at Serra Alta and new assay results from its ongoing infill/condemnation and extensional drill program at the Serra Alta deposit at its Monte do Carmo Project located in Tocantins State, Brazil ("MDC").
The drill program commenced in Q4 2021 with the aim to upgrade the bulk of the resources into Measured and Indicated categories, target new satellites, extensional zones, condemn areas of project infrastructure and support the ongoing Feasibility Study. This phase of drilling has been extended to Q4, to target several extensional zones such as Gogó de Onça ("Gogo") to be incorporated into the feasibility study and further define the newly discovered E3 zone, reported for first time in this release.
The Company is currently reporting assay results from 31 drill holes, totaling 10,647m (see Tables 1 & 2) completed from June to September 2022. As of November 4, 2022, a total of 172 drill holes, totaling 42,068m have been completed as part of the 2022 program, including 137 holes at Serra Alta; and 35 holes in the satellite exploration areas. The Company currently has 5 drill rigs on site and plans to complete the current phase of drilling by Mid-December.
Drill Hole Highlights (All composites are reported as true thickness):
Serra Alta (Infill)
FSA-274
- 9m at 10.89 g/t Au from 88m
- Including 4m at 25.68 g/t Au from 90m
- 22m at 2.77 g/t Au from 43m
- Including 2m at 10.19 g/t Au from 43m
FSA-292
- 37m at 4.16g/t Au from 35m
- Including 7m at 15.46 g/t Au from 38m
FSZ-008
- 13m at 5.53g/t Au from 333m
- Including 3m at 24.39 g/t Au from 343m
FSA-283
- 48m at 2.01 g/t Au from 362m
- Including 7m at 7.38 g/t Au from 367m
FGO-014
- 4m at 59.97g/t Au from 171
Mark Brennan, CEO and Co-Chairman commented "The new E3 mineralized zone is the second satellite discovery announced at Serra Alta this year as part of the infill drill program. Serra Alta continues to show its strong mineral endowment and the successive satellite discoveries point to the wider exploration potential we see at Monte do Carmo."
E3 Discovery
E3 is considered a newly discovered mineralized zone that is located to the East of the East zone at distances between 100 and 200m. Very importantly, besides the granite hosted gold bearing quartz veins, some of the mineralization in E3 is hosted by felsic volcanic rocks and by a granitic porphyry. In general, the felsic volcanics act as a cap to the mineralization at Serra Alta with minor mineralization extending beyond the contact with the underlying granites.
Cerrado's main working hypothesis for having mineralized volcanics in E3 relates to the presence of a granitic porphyry dyke swarm zone with a general west/Northwest direction, that seems to provide a permissive host rock and fluid conduits to upper stratigraphic levels. The results reported today and the geological logging of additional holes with assays still pending allow us to infer a preliminary North-South strike length of approximately 250m for E3, with no constrains yet in terms of the down dip dimensions. Additional holes are required to fully validate the direction of the main mineralization trend, which at this point is believed to follow the Serra Alta North-South direction, oblique to the porphyritic dyke direction. It is presumed that E3 will provide fresh ounces to the resource inventory. Additionally, the occurrence of gold in higher stratigraphic levels, reverts the trend of deepening of mineralization towards the east (East Zone). This is positive in terms of mining optionality and development costs both in an open pit or underground scenario.
Hole FSZ-008, considered the discovery hole, was drilled as a condemnation hole to assess the western margin of a possible waste rock facility. FSZ-008 includes 13m at 5.53g/t Au from 333m, including 3m at 24.39 g/t Au from 343m. Gold mineralization in this hole is identical to Serra Alta (associated to quartz veins) but is mainly hosted by granitic porphyritic rock. Some of the quartz veins in the porphyritic host exhibit sinuous borders that might indicate very close temporal proximity between the porphyry emplacement and cooling and the quartz vein formation.
Hole FSA-283, drilled approximately 100m to the south of the discovery hole, intercepted 48m at 2.01 g/t from 362m. Quartz veins in this interval are hosted both by felsic volcanics and by granitic porphyries. Cerrado is aggressively drilling E3 to establish the controls of the mineralization, continuity, shape, and size.
Gogó de Onça
Cerrado disclosed the discovery of Gogo on June 23, 2022 with additional results on September 26, 2022. Further drilling has now been completed on the target providing a high confidence level that incremental ounces can be incorporated into the ongoing Feasibility study. Eleven new holes are reported today for Gogo, highlighting hole FGO-014, located approximately 250m to the north of the discovery hole FGO-001. FGO-014 intersected 4m at 59.97g/t Au from 171m. This intersection is associated with a mineralized shear zone that extends beyond the Gogo main zone where better lateral continuity of parallel veins occurs.
Serra Alta infill
East Zone
Drill holes FSA-250, FSA-272, FSA-274, FSA-275, FSA-279, FSA-284, FSA-285, FSA-287, FSA-288 were collared in the East Zone. The best reported intercepts in the East Zone correspond to holes FSA-274 and FSA-288 collared in the southern and central segments of the East Zone respectively. Hole FSA-274 confirmed the high-grade nature of the southern edge of the East Zone, in the proximity of the F1 faulted contact. FSA-274 contains 9m at 10.89 g/t Au from 88m, including 4m at 25.68 g/t Au from 90m. The best results of FSA-288 compromise 24m at 1.85 g/t Au from 195m, including 4m at 4.36 g/t Au from 199m.
Pit Norte
Drill Hole FSA-280 was collared in the southern edge of the Pit Norte. The best intercept included 12m at 1.54 g/t Au from 84m
Pit Sul
Drill Holes FSA-289 and FSA-292 were collared in the central part of Pit Sul aiming to convert any remaining gaps of inferred blocks. Hole intercepted 37m at 4.16g/t Au from 35m, including 7m at 15.46 g/t Au from 38m. This interval is almost contiguous to the preceding shallow segment of the hole that includes 25m (almost from surface) of 0.54 g/t Au. Hole FSA-292 is remarkable in confirming the extent and tenor of the shallow segments of the deposit that will most probably constitute the early feed in the payback mining period.
Miscellaneous
Drill holes FSZ-006 and FSZ-007, were collared in the Eldorado area, southeast of the existing resources to condemn an area that could be used for waste rock facilities, returning no mineralized intercepts.
Figure 1. Reported and Ongoing Drill Hole Locations
Figure 2. Select Highlighted Cross Sections of Reported Holes
E3 Discovery
* Scales vary by section
Link for additional select Cross sections
Table 1. Drill Hole Composites
| DDH | From | To | LENGTH (m) | True Width (m) | Au (g/t) | ||
East Zone | FSA-250 | 48.06 | 49.09 | 1.03 | 1.03 | 0.55 | |
| FSA-250 | and | 53.54 | 54.76 | 1.22 | 1.22 | 0.36 | |
| FSA-250 | and | 59.33 | 60.46 | 1.13 | 1.13 | 0.52 | |
| FSA-250 | and | 91.93 | 95.20 | 3.27 | 3.27 | 0.58 | |
| FSA-250 | and | 104.92 | 106.19 | 1.27 | 1.27 | 0.38 | |
| FSA-250 | and | 116.95 | 136.63 | 19.68 | 19.68 | 0.59 | |
| FSA-250 | Includes | 133.41 | 134.55 | 1.14 | 1.14 | 3.44 | |
| FSA-250 | and | 185.84 | 187.05 | 1.21 | 1.21 | 0.46 | |
| FSA-250 | and | 319.24 | 320.29 | 1.05 | 1.05 | 0.67 | |
| FSA-250 | and | 344.44 | 345.48 | 1.04 | 1.04 | 0.62 | |
| FSA-250 | and | 348.47 | 349.41 | 0.94 | 0.94 | 3.81 | |
| FSA-250 | and | 353.68 | 354.77 | 1.09 | 1.09 | 0.30 | |
| FSA-250 | and | 362.46 | 369.59 | 7.13 | 7.13 | 0.73 | |
| FSA-250 | and | 389.83 | 390.85 | 1.02 | 1.02 | 2.96 | |
| FSA-272 | 42.90 | 43.98 | 1.08 | 0.93 | 0.30 | ||
| FSA-272 | and | 54.63 | 55.78 | 1.15 | 1.00 | 0.49 | |
| FSA-272 | and | 64.51 | 68.72 | 4.21 | 3.64 | 2.09 | |
| FSA-272 | and | 85.80 | 101.60 | 15.80 | 13.68 | 1.16 | |
| FSA-272 | includes | 96.40 | 100.54 | 4.14 | 3.58 | 3.02 | |
| FSA-272 | and | 108.20 | 115.75 | 7.55 | 6.54 | 2.32 | |
| FSA-272 | includes | 111.45 | 112.50 | 1.05 | 0.91 | 15.50 | |
| FSA-274 | 22.00 | 23.06 | 1.06 | 0.88 | 0.36 | ||
| FSA-274 | and | 25.16 | 26.17 | 1.01 | 0.84 | 0.35 | |
| FSA-274 | and | 34.82 | 35.83 | 1.01 | 0.84 | 0.39 | |
| FSA-274 | and | 43.40 | 69.87 | 26.47 | 22.05 | 2.77 | |
| FSA-274 | includes | 43.40 | 46.30 | 2.90 | 2.42 | 10.19 | |
| FSA-274 | includes | 58.57 | 61.01 | 2.44 | 2.03 | 12.41 | |
| FSA-274 | and | 87.70 | 98.78 | 11.08 | 9.23 | 10.89 | |
| FSA-274 | includes | 90.01 | 94.53 | 4.52 | 3.76 | 25.68 | |
| FSA-274 | and | 114.69 | 120.32 | 5.63 | 4.69 | 0.81 | |
| FSA-274 | and | 132.44 | 160.09 | 27.65 | 23.03 | 1.19 | |
| FSA-274 | includes | 142.62 | 145.90 | 3.28 | 2.73 | 4.11 | |
| FSA-274 | includes | 151.36 | 152.44 | 1.08 | 0.90 | 5.09 | |
| FSA-274 | and | 163.25 | 166.44 | 3.19 | 2.66 | 0.60 | |
| FSA-275 | 34.95 | 35.84 | 0.89 | 0.87 | 0.31 | ||
| FSA-275 | and | 40.83 | 51.00 | 10.17 | 9.98 | 0.77 | |
| FSA-275 | and | 69.43 | 76.63 | 7.20 | 7.06 | 0.43 | |
| FSA-275 | and | 80.70 | 103.80 | 23.10 | 22.66 | 1.21 | |
| FSA-275 | includes | 81.94 | 85.10 | 3.16 | 3.10 | 3.08 | |
| FSA-275 | and | 107.17 | 110.44 | 3.27 | 3.21 | 1.45 | |
| FSA-275 | and | 117.85 | 119.85 | 2.00 | 1.96 | 0.79 | |
| FSA-275 | and | 134.35 | 138.79 | 4.44 | 4.36 | 0.37 | |
| FSA-275 | and | 162.39 | 176.16 | 13.77 | 13.51 | 1.18 | |
| FSA-275 | and | 178.29 | 180.30 | 2.01 | 1.97 | 0.33 | |
| FSA-275 | and | 187.75 | 200.88 | 13.13 | 12.88 | 1.56 | |
| FSA-275 | and | 207.40 | 212.00 | 4.60 | 4.51 | 0.37 | |
| FSA-279 | 351.17 | 354.48 | 3.31 | 2.33 | 0.48 | ||
| FSA-279 | and | 359.63 | 360.62 | 0.99 | 0.70 | 0.73 | |
| FSA-279 | and | 383.04 | 384.24 | 1.20 | 0.85 | 0.59 | |
| FSA-279 | and | 394.85 | 399.45 | 4.60 | 3.24 | 1.68 | |
| FSA-279 | includes | 395.85 | 396.66 | 0.81 | 0.57 | 6.09 | |
| FSA-284 | 333.01 | 334.31 | 1.30 | 1.30 | 1.24 | ||
| FSA-284 | and | 337.40 | 338.44 | 1.04 | 1.04 | 0.41 | |
| FSA-284 | and | 438.00 | 439.00 | 1.00 | 1.00 | 0.43 | |
| FSA-284 | and | 464.51 | 469.65 | 5.14 | 5.14 | 0.79 | |
| FSA-284 | and | 492.91 | 495.10 | 2.19 | 2.19 | 1.91 | |
| FSA-284 | and | 528.34 | 530.71 | 2.37 | 2.37 | 0.48 | |
| FSA-285 | 369.30 | 371.87 | 2.57 | 2.57 | 8.44 | ||
| FSA-285 | and | 415.30 | 416.35 | 1.05 | 1.05 | 1.58 | |
| FSA-285 | and | 425.70 | 426.70 | 1.00 | 1.00 | 0.86 | |
| FSA-285 | and | 432.57 | 434.63 | 2.06 | 2.06 | 1.62 | |
| FSA-285 | and | 443.96 | 458.37 | 14.41 | 14.41 | 0.62 | |
| FSA-285 | and | 463.74 | 466.55 | 2.81 | 2.81 | 0.52 | |
| FSA-287 | 70.26 | 74.46 | 4.20 | 4.20 | 0.37 | ||
| FSA-287 | and | 95.22 | 115.94 | 20.72 | 20.72 | 1.32 | |
| FSA-287 | includes | 107.10 | 109.37 | 2.27 | 2.27 | 3.89 | |
| FSA-287 | and | 149.83 | 235.35 | 85.52 | 85.52 | 1.05 | |
| FSA-287 | includes | 162.02 | 165.40 | 3.38 | 3.38 | 6.35 | |
| FSA-287 | includes | 189.01 | 193.14 | 4.13 | 4.13 | 2.28 | |
| FSA-288 | 44.65 | 65.55 | 20.90 | 20.39 | 0.50 | ||
| FSA-288 | includes | 58.77 | 61.24 | 2.47 | 2.41 | 0.50 | |
| FSA-288 | and | 76.70 | 77.75 | 1.05 | 1.02 | 1.53 | |
| FSA-288 | and | 99.30 | 103.67 | 4.37 | 4.26 | 0.95 | |
| FSA-288 | includes | 101.47 | 102.51 | 1.04 | 1.01 | 2.66 | |
| FSA-288 | and | 176.06 | 179.54 | 3.48 | 3.40 | 2.48 | |
| FSA-288 | includes | 176.06 | 178.27 | 2.21 | 2.16 | 3.56 | |
| FSA-288 | and | 195.31 | 219.69 | 24.38 | 23.79 | 1.85 | |
| FSA-288 | includes | 198.74 | 203.32 | 4.58 | 4.47 | 4.36 | |
| FSA-288 | includes | 211.46 | 213.81 | 2.35 | 2.29 | 4.59 | |
| FSA-288 | includes | 216.18 | 217.38 | 1.20 | 1.17 | 2.75 | |
Pit Sul | FSA-289 | 6.54 | 37.38 | 30.84 | 30.18 | 0.71 | |
| FSA-289 | includes | 6.54 | 8.55 | 2.01 | 1.97 | 5.95 | |
| FSA-289 | includes | 14.84 | 17.90 | 3.06 | 2.99 | 1.50 | |
| FSA-289 | and | 48.64 | 49.64 | 1.00 | 0.98 | 0.31 | |
| FSA-289 | and | 57.00 | 69.00 | 12.00 | 11.74 | 0.32 | |
| FSA-289 | includes | 60.12 | 61.18 | 1.06 | 1.04 | 1.12 | |
| FSA-289 | and | 77.34 | 81.50 | 4.16 | 4.07 | 0.83 | |
| FSA-289 | includes | 79.40 | 80.45 | 1.05 | 1.03 | 1.52 | |
| FSA-289 | and | 88.80 | 89.85 | 1.05 | 1.03 | 0.32 | |
| FSA-289 | and | 95.07 | 99.35 | 4.28 | 4.19 | 0.60 | |
| FSA-289 | includes | 95.07 | 96.15 | 1.08 | 1.06 | 2.09 | |
| FSA-289 | and | 104.60 | 105.68 | 1.08 | 1.06 | 0.71 | |
| FSA-289 | and | 109.85 | 110.85 | 1.00 | 0.98 | 0.84 | |
| FSA-289 | and | 114.94 | 124.33 | 9.39 | 9.19 | 0.33 | |
| FSA-289 | includes | 123.32 | 124.33 | 1.01 | 0.99 | 2.42 | |
| FSA-289 | and | 132.55 | 133.55 | 1.00 | 0.98 | 1.40 | |
| FSA-289 | and | 145.91 | 146.75 | 0.84 | 0.82 | 0.31 | |
| FSA-289 | and | 179.84 | 180.80 | 0.96 | 0.94 | 0.38 | |
| FSA-289 | and | 183.95 | 184.96 | 1.01 | 0.99 | 0.50 | |
| FSA-289 | and | 200.73 | 201.85 | 1.12 | 1.10 | 0.48 | |
| FSA-289 | and | 208.17 | 211.33 | 3.16 | 3.09 | 0.41 | |
| FSA-289 | and | 268.46 | 269.46 | 1.00 | 0.98 | 0.38 | |
| FSA-292 | 3.00 | 25.66 | 22.66 | 22.37 | 0.54 | ||
| FSA-292 | and | 35.00 | 72.28 | 37.28 | 36.80 | 4.16 | |
| FSA-292 | includes | 38.16 | 45.74 | 7.58 | 7.48 | 15.46 | |
| FSA-292 | includes | 67.94 | 72.28 | 4.34 | 4.28 | 5.90 | |
| FSA-292 | and | 82.70 | 102.34 | 19.64 | 19.39 | 1.18 | |
| FSA-292 | includes | 99.18 | 102.34 | 3.16 | 3.12 | 3.24 | |
Pit Norte | FSA-280 | and | 4.47 | 5.31 | 0.84 | 0.69 | 0.32 |
| FSA-280 | and | 12.98 | 18.20 | 5.22 | 4.29 | 0.55 | |
| FSA-280 | and | 42.48 | 43.28 | 0.80 | 0.66 | 0.34 | |
| FSA-280 | and | 46.35 | 48.35 | 2.00 | 1.64 | 1.01 | |
| FSA-280 | and | 50.45 | 53.38 | 2.93 | 2.41 | 0.37 | |
| FSA-280 | and | 58.50 | 61.50 | 3.00 | 2.47 | 1.67 | |
| FSA-280 | and | 67.65 | 71.77 | 4.12 | 3.39 | 0.28 | |
| FSA-280 | and | 77.07 | 79.29 | 2.22 | 1.83 | 0.68 | |
| FSA-280 | and | 83.72 | 98.55 | 14.83 | 12.19 | 1.54 | |
| FSA-280 | includes | 87.76 | 90.78 | 3.02 | 2.48 | 4.14 | |
| FSA-280 | includes | 96.50 | 98.55 | 2.05 | 1.69 | 3.20 | |
| FSA-280 | and | 106.00 | 127.45 | 21.45 | 17.64 | 0.34 | |
E3 | FSZ-008 | 304.00 | 314.21 | 10.21 | 8.74 | 2.01 | |
| FSZ-008 | includes | 306.10 | 308.10 | 2.00 | 1.71 | 6.19 | |
| FSZ-008 | and | 333.20 | 348.65 | 15.45 | 13.23 | 5.53 | |
| FSZ-008 | includes | 343.41 | 346.60 | 3.19 | 2.73 | 24.39 | |
| FSZ-008 | and | 357.26 | 364.20 | 6.94 | 5.94 | 1.52 | |
| FSZ-008 | includes | 358.41 | 360.80 | 2.39 | 2.05 | 3.33 | |
| FSA-278 | 450.88 | 456.00 | 5.12 | 4.15 | 0.99 | ||
| FSA-278 | includes | 455.00 | 456.00 | 1.00 | 0.81 | 2.00 | |
| FSA-278 | and | 498.28 | 501.06 | 2.78 | 2.25 | 0.37 | |
| FSA-281 | 380.90 | 382.00 | 1.10 | 1.10 | 0.31 | ||
| FSA-281 | and | 384.17 | 386.25 | 2.08 | 2.08 | 0.35 | |
| FSA-281 | and | 391.51 | 392.52 | 1.01 | 1.01 | 0.71 | |
| FSA-281 | and | 402.05 | 403.13 | 1.08 | 1.08 | 0.48 | |
| FSA-282 | 336.97 | 338.00 | 1.03 | 0.85 | 2.10 | ||
| FSA-282 | and | 382.00 | 385.05 | 3.05 | 2.51 | 0.46 | |
| FSA-282 | and | 400.01 | 401.01 | 1.00 | 0.82 | 0.35 | |
| FSA-282 | and | 411.15 | 412.17 | 1.02 | 0.84 | 0.52 | |
| FSA-282 | and | 415.22 | 416.22 | 1.00 | 0.82 | 0.37 | |
| FSA-282 | and | 424.16 | 426.16 | 2.00 | 1.65 | 0.44 | |
| FSA-282 | and | 433.75 | 434.76 | 1.01 | 0.83 | 0.43 | |
| FSA-282 | and | 439.92 | 440.97 | 1.05 | 0.87 | 0.32 | |
| FSA-282 | and | 444.23 | 445.47 | 1.24 | 1.02 | 0.69 | |
| FSA-283 | 362.60 | 423.38 | 60.78 | 47.56 | 2.01 | ||
| FSA-283 | includes | 362.60 | 363.61 | 1.01 | 0.79 | 27.00 | |
| FSA-283 | includes | 366.95 | 376.08 | 9.13 | 7.14 | 7.38 | |
| FSA-283 | includes | 383.90 | 386.80 | 2.90 | 2.27 | 2.68 | |
| FSA-291 | No significant values | ||||||
Gogó da Onça Zone | FSA-277 | and | 491.96 | 493.15 | 1.19 | 1.19 | 1.01 |
| FSA-277 | and | 516.70 | 517.82 | 1.12 | 1.12 | 1.36 | |
| FSA-277 | and | 536.53 | 537.60 | 1.07 | 1.07 | 0.78 | |
| FSZ-003 | No significant values | ||||||
| FGO-014 | and | 143.81 | 144.81 | 1.00 | 0.92 | 0.59 | |
| FGO-014 | and | 171.63 | 175.89 | 4.26 | 3.92 | 59.97 | |
| FGO-014 | includes | 174.21 | 175.89 | 1.68 | 1.54 | 151.50 | |
| FGO-014 | and | 211.92 | 212.93 | 1.01 | 0.93 | 0.58 | |
| FGO-015 | 22.70 | 23.80 | 1.10 | 0.80 | 2.90 | ||
| FGO-015 | and | 35.83 | 37.70 | 1.87 | 1.37 | 0.31 | |
| FGO-015 | and | 93.43 | 94.57 | 1.14 | 0.83 | 1.03 | |
| FGO-015 | and | 116.05 | 120.45 | 4.40 | 3.21 | 1.36 | |
| FGO-015 | and | 146.08 | 167.34 | 21.26 | 15.52 | 1.10 | |
| FGO-015 | includes | 146.08 | 148.12 | 2.04 | 1.49 | 7.18 | |
| FGO-015 | and | 169.59 | 170.63 | 1.04 | 0.76 | 0.95 | |
| FGO-015 | and | 176.21 | 177.31 | 1.10 | 0.80 | 0.39 | |
| FGO-015 | and | 178.41 | 179.54 | 1.13 | 0.83 | 0.32 | |
| FGO-015 | and | 217.00 | 219.12 | 2.12 | 1.55 | 0.50 | |
| FGO-016 | No significant values | ||||||
| FGO-018 | 88.65 | 90.77 | 2.12 | 2.04 | 0.78 | ||
| FGO-018 | and | 99.38 | 107.77 | 8.39 | 8.08 | 0.72 | |
| FGO-018 | includes | 105.76 | 107.77 | 2.01 | 1.94 | 1.83 | |
| FGO-018 | includes | 134.86 | 137.92 | 3.06 | 2.95 | 2.57 | |
| FGO-018 | includes | 145.06 | 147.02 | 1.96 | 1.89 | 3.70 | |
| FGO-018 | and | 125.30 | 152.12 | 26.82 | 25.82 | 0.73 | |
| FGO-018 | includes | 159.09 | 160.09 | 1.00 | 0.96 | 2.33 | |
| FGO-018 | and | 159.09 | 162.01 | 2.92 | 2.81 | 0.89 | |
| FGO-018 | and | 168.13 | 169.13 | 1.00 | 0.96 | 0.49 | |
| FGO-018 | and | 171.15 | 172.18 | 1.03 | 0.99 | 1.00 | |
| FGO-019 | 93.88 | 102.12 | 8.24 | 8.24 | 1.24 | ||
| FGO-020 | 118.38 | 119.40 | 1.02 | 1.02 | 0.40 | ||
| FGO-021 | 47.32 | 48.32 | 1.00 | 0.96 | 8.02 | ||
| FGO-021 | and | 61.28 | 62.28 | 1.00 | 0.96 | 1.57 | |
| FGO-021 | and | 166.67 | 168.58 | 1.91 | 1.83 | 3.05 | |
| FGO-021 | and | 201.14 | 202.18 | 1.04 | 1.00 | 0.34 | |
| FGO-023 | 42.94 | 49.26 | 6.32 | 6.26 | 0.50 | ||
| FGO-023 | includes | 42.94 | 44.00 | 1.06 | 1.05 | 1.83 | |
| FGO-023 | and | 70.18 | 71.37 | 1.19 | 1.18 | 0.68 | |
| FGO-023 | and | 102.00 | 103.08 | 1.08 | 1.07 | 1.02 | |
| FGO-023 | and | 124.11 | 126.19 | 2.08 | 2.06 | 5.03 | |
| FGO-023 | includes | 125.15 | 126.19 | 1.04 | 1.03 | 9.20 | |
| FGO-023 | and | 159.72 | 160.75 | 1.03 | 1.02 | 0.62 | |
| FGO-024 | 192.78 | 193.95 | 1.17 | 1.07 | 3.19 | ||
Eldorado | FSZ-006 | No significant values | |||||
| FSZ-007 | No significant values | ||||||
| >10m x g/t | >30m x g/t | ||||||
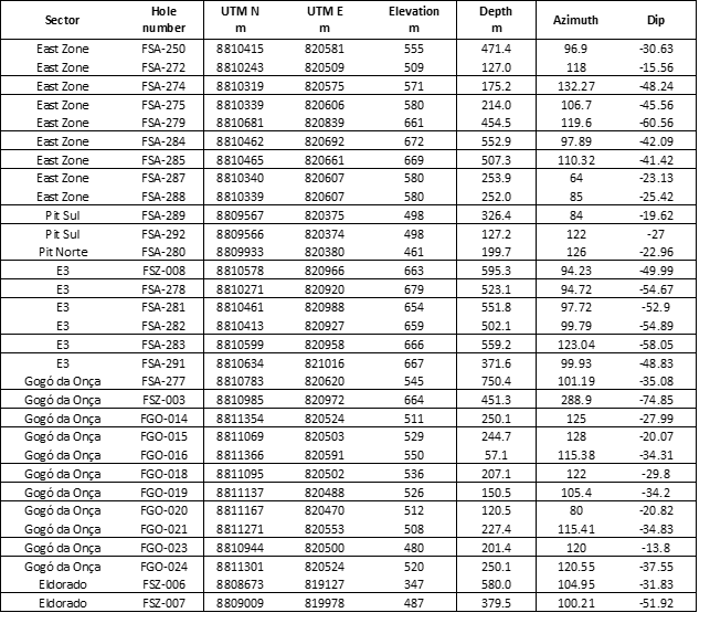
Table 2. Drill Hole locations
*Collar coordinates by GNSS TP-20 UTM Coordinates, Datum: SAD69 / zone 22S.
*Azimuth Set by compass
*Dip and drill hole trajectory by DEVIFLEX Devico
Quality Assurance and Quality Control
Analytical work was carried out by ALS international lab (ALS). MDC send half core samples for sample preparation to the lab. The facilities of the prep lab are located in Goiânia, Brazil 835 km from the MDC project and alternatively in Belo Horizonte, Brazil 1,110 Km from the MDC project. MDC sends out samples to ALS international labs (ALS) with the prep lab located in Goiânia or alternatively in Belo Horizonte. ALS lab sends the prepared aliquots for analytical assay to their lab in Lima, Peru where the prepared samples are systematically analyzed for gold (ppm) by fire assay (Au-AA24) or gold (ppm) by metallic screen (Au-SCR24). Randomly the ICP (Inductively coupled plasma mass spectrometry) is done for trace elements in 4 acids (hydrofluoric, perchloric, nitric and hydrochloric) digestion (ME-MS-61). ALS has routine quality control procedures which ensure that every batch of samples includes three sample repeats and at least two commercial standards and two blanks. Cerrado uses standard QA/QC procedures, inserting reference standards and blanks, for the drilling program. The Reference material used are from CDN Resource Laboratories Ltd., ITAK (Instituto de Tecnologia August Kekulé Ltda. and OREAS).
Review of Technical Information
The scientific and technical information in this press release has been reviewed and approved by Sergio Gelcich, P.Geo., Vice President, Exploration for Cerrado Gold Inc., who is a Qualified Person as defined in National Instrument 43-101.
Mark Brennan
CEO and Co Chairman
Tel: +1-647-796-0023
[email protected]
David Ball
Vice President, Corporate Development
Tel.: +1-647-796-0068
[email protected]
About Cerrado
Cerrado is a Toronto based gold production, development and exploration company focused on gold projects in the Americas. The Company is the 100% owner of both the producing Minera Don Nicolás mine in Santa Cruz province, Argentina, and the highly prospective development project, Monte Do Carmo located in Tocantins State, Brazil.
At Minera Don Nicolas, Cerrado is maximising asset value through further operation optimization and continued production growth. An extensive campaign of exploration is ongoing to further unlock potential resources in our highly prospective land package.
At Monte Do Carmo, Cerrado is rapidly advancing the Serra Alta deposit through Feasibility and production. The Serra Alta deposit Indicated Resources of 541 kozs of contained gold and Inferred Resources of 780 kozs of contained gold. The Preliminary Economic Assessment demonstrates robust economics as well as the potential to be one of the industry's lowest cost producers. Cerrado also holds an extensive and highly prospective 82,542 ha land package at Monte Do Carmo.
For more information about Cerrado please visit our website at: www.cerradogold.com.
Disclaimer
NEITHER TSX VENTURE EXCHANGE NOR ITS REGULATION SERVICES PROVIDER (AS THAT TERM IS DEFINED IN POLICIES OF THE TSX VENTURE EXCHANGE) ACCEPTS RESPONSIBILITY FOR THE ADEQUACY OR ACCURACY OF THIS RELEASE.
This press release contains statements that constitute "forward-looking information" (collectively, "forward-looking statements") within the meaning of the applicable Canadian securities legislation, all statements, other than statements of historical fact, are forward-looking statements and are based on expectations, estimates and projections as at the date of this news release. Any statement that discusses predictions, expectations, beliefs, plans, projections, objectives, assumptions, future events or performance (often but not always using phrases such as "expects", or "does not expect", "is expected", "anticipates" or "does not anticipate", "plans", "budget", "scheduled", "forecasts", "estimates", "believes" or "intends" or variations of such words and phrases or stating that certain actions, events or results "may" or "could", "would", "might" or "will" be taken to occur or be achieved) are not statements of historical fact and may be forward-looking statements.
Forward-looking statements contained in this press release include, without limitation, statements regarding the business and operations of Cerrado. In making the forward- looking statements contained in this press release, Cerrado has made certain assumptions, including, but not limited to continuing progress of the Feasibility Study and the ability to incorporate satellite deposits such as Gogo and E3 into the Feasibility Study at MDC. Although Cerrado believes that the expectations reflected in forward-looking statements are reasonable, it can give no assurance that the expectations of any forward-looking statements will prove to be correct. Known and unknown risks, uncertainties, and other factors which may cause the actual results and future events to differ materially from those expressed or implied by such forward-looking statements. Such factors include, but are not limited to general business, economic, competitive, political and social uncertainties. Accordingly, readers should not place undue reliance on the forward-looking statements and information contained in this press release. Except as required by law, Cerrado disclaims any intention and assumes no obligation to update or revise any forward-looking statements to reflect actual results, whether as a result of new information, future events, changes in assumptions, changes in factors affecting such forward-looking statements or otherwise.
SOURCE: Cerrado Gold Inc.
Source: Cerrado Gold Inc.
Share: